Early/Late Singapore data indicate Jab Harm
Post #616
Singapore got COVID under control before June of 2020. In fact, before the end of May 2020, the case fatality rate was below the “0.1%” which is often cited for flu:
That’s less than 1 COVID death per 1,000 known COVID cases. Singapore did 200 times better at keeping known COVID cases alive than did the UK (where 1 in 5 known cases died):
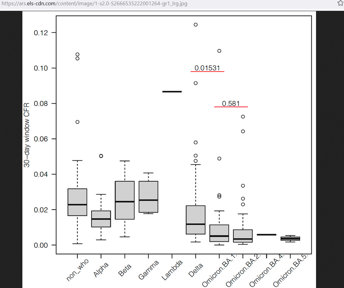
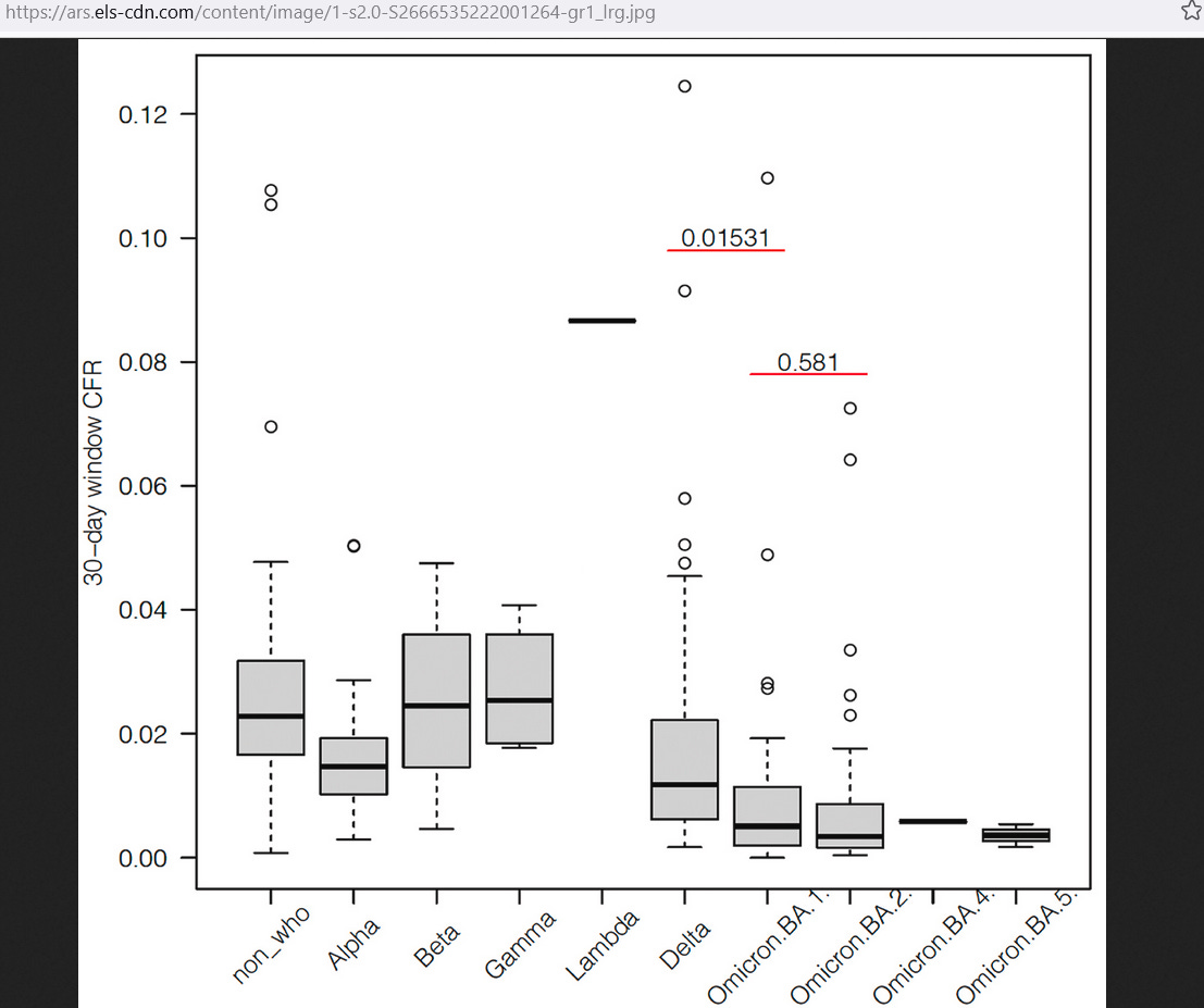
But that was during the original, Wuhan-1 strain, of COVID, and the fatality rate dropped by at least half for Delta variant, and it dropped by at least half AGAIN for Omicron variant:
But even though Omicron variant is not even one-fourth as lethal as the original strain, people in Singapore have started to die more than ever before:
This striking contrast, where deaths rise after the disease weakens, implicates the COVID shots.
By 30 June 2020, 0.77% of Singapore was known COVID positive, and 0.42% of UK was:
Reference
[cumulative CFR to June 2020] — OWID. https://ourworldindata.org/grapher/covid-cfr-exemplars
[series of 50% step-downs in lethality resulting in Omicron not even being one-fourth as deadly] — Differences in case-fatality-rate of emerging SARS-CoV-2 variants. Public Health in Practice. Volume 5, June 2023, 100350. https://doi.org/10.1016/j.puhip.2022.100350
[percent excess death] — OWID. https://ourworldindata.org/grapher/excess-mortality-p-scores-average-baseline







Thank you. Well done, once again. Singapore did most things right, until the shots...